문제
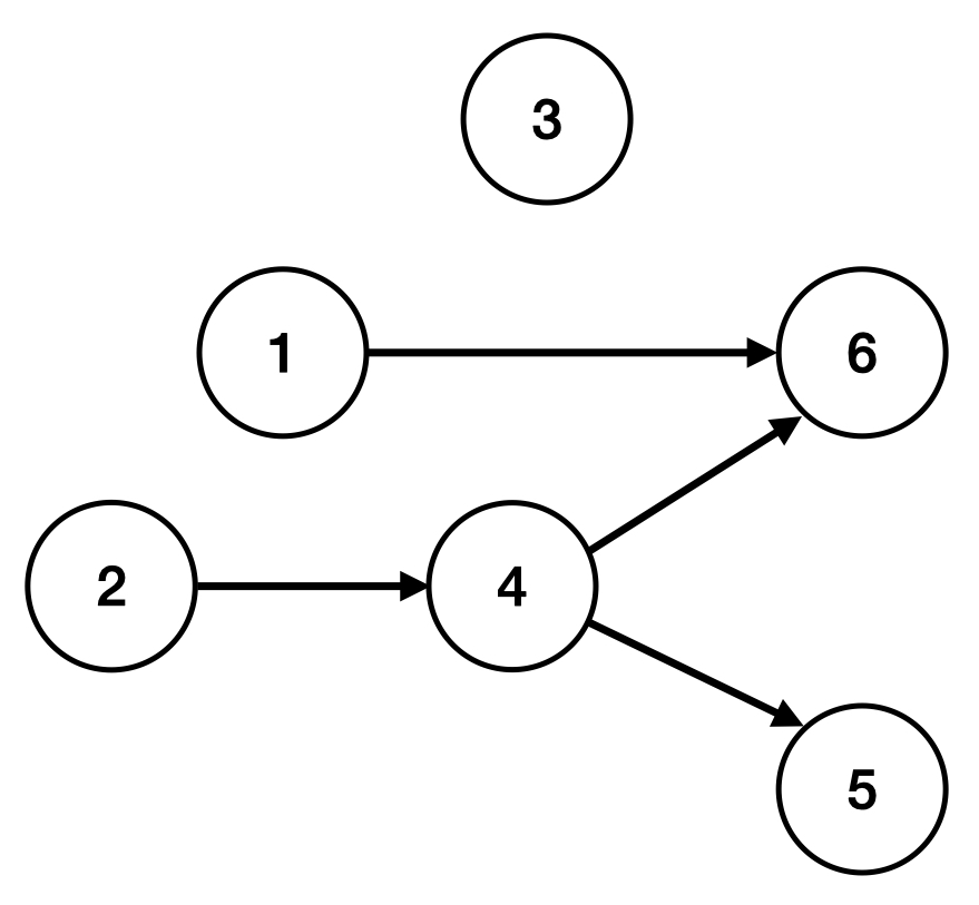
민상이는 자신이 해야할 작업 N개를 아래와 같이 작업 순서도로 그려보았다.

위 그림에서 5번 작업을 하기 위해 제일 먼저 2번 작업을 끝내야 하고 그 다음으로 4번 작업을 끝내야 5번 작업을 할 수 있다. 3번 작업은 먼저 해야하는 작업이 없으므로 3번 작업을 바로 시작 할 수 있다.
작업 순서를 정할때 위배되는 작업 순서는 없다. 예를 들어, A 작업을 하려면 B 작업을 먼저 해야하고, B 작업을 해야하기 전에 A 작업을 해야하는 상황은 없다.
민상이는 오늘 반드시 끝낼 작업 X가 있다. 민상이가 작업 X 을 끝내기 위해서 먼저 해야하는 작업의 개수를 구해주자!
풀이
단순히 재귀함수 구현으로 풀 수 있는 문제였다. 깊이 탐색을 이용해서 각 작업의 선행 작업들을 처리하게 하고,
스택에서 빠져 나오면서 답을 도출할 수 있었다.
from collections import deque
import sys
si = sys.stdin.readline
def MIIS(): return map(int, si().split())
n, m = MIIS()
todo = [[] * (n + 1) for _ in range(n + 1)]
tree = [0] * (n + 1)
visited = [False] * (n + 1)
sys.setrecursionlimit(10 ** 6)
for _ in range(m):
a, b = MIIS()
todo[b].append(a)
x = int(si())
def dfs(x):
if not todo[x]:
visited[x] = True
return 0
for node in todo[x]:
if not visited[node]:
tree[x] += dfs(node) + 1
visited[node] = True
return tree[x]
print(dfs(x))'알고리즘' 카테고리의 다른 글
| [Python] BOJ 백준 21939 문제 추천 시스템 Version 1 (0) | 2022.04.04 |
|---|---|
| [Python] BOJ 백준 21938 영상처리 (0) | 2022.04.04 |
| [Python] BOJ 백준 21924 도시건설 (0) | 2022.04.04 |
| [Python] BOJ 백준 21923 곡예 비행 (0) | 2022.04.04 |
| [Python] BOJ 백준 21922 학부연구생 민상 (0) | 2022.04.04 |